2024 IRS 990 Form

Schedule A

Schedule O

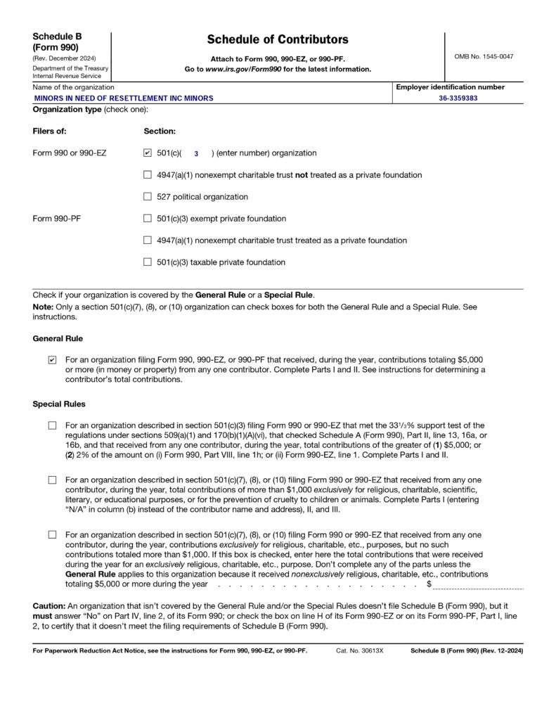
Schedule B